Senin, 31 Desember 2012

Asuransi Butuh 500 Tenaga Aktuaris


Industri asuransi kekurangan tenaga aktuaris. Penggunaan konsultan aktuaris nantinya tidak lagi diperkenankan. Setidaknya diperlukan sekitar 500 tenaga aktuaris hingga 2015. Apriyani Kurniasih
Kelangkaan tenaga aktuaris di industri asuransi mendorong Biro Perasuransian Badan Pengawas Pasar Modal dan Lembaga Keuangan (Bapepam-LK) melakukan penertiban tenaga aktuaris. Fakta di lapangan, jumlah perusahaan asuransi dan tenaga aktuaris belum seimbang. Hal itu mendorong terjadinya bajak-membajak tenaga aktuaris di asuransi. Bahkan, ada pula aktuaris yang dipekerjakan di lebih dari satu perusahaan asuransi.
Mengingat produk dan bisnis asuransi yang terus berkembang, Biro Perasuransian Bapepam- LK kini mewajibkan perusahaan asuransi memiliki tenaga aktuaris sendiri. Dalam rancangan peraturan baru yang disusun Biro Perasuransian Bapepam-LK disebutkan, setiap perusahaan asuransi harus melibatkan komite pengarahan pengembangan produk guna pemasaran produk asuransi, dan salah satu anggota komitenya adalah aktuaris.
Tenaga aktuaris yang dimaksud di sini harus memiliki kemampuan teknis secara matematika, keuangan, dan statistik untuk bisa menganalisis outlook ekonomi ke depan. Lebih jelasnya, tenaga aktuaris dibutuhkan untuk menguatkan perusahaan asuransi dengan kompetensi dan kapasitasnya dalam mengevaluasi risiko yang dihadapi asuransi ke depan.
Mengapa perlu tenaga aktuaris? Bapepam-LK menilai, produk asuransi, termasuk asuransi umum, mulai masuk produk-produk multiyears, yaitu tidak melulu produk setahunan, tapi sudah renewal premium. Artinya, perusahaan asuransi akan menanggung risiko dalam jangka panjang.
Selain itu, karakteristik produknya sendiri ke depan akan berkembang. Untuk itulah, perusahaan asuransi memerlukan kemampuan untuk memprediksi perilaku konsumen dan perilaku ekonomi agar bisa mengetahui kemungkinan default atau kemungkinan klaim beberapa tahun mendatang.
Dalam masa transisi setelah aturan baru tersebut berlaku, regulator masih akan memberikan kesempatan kepada industri untuk mulai membangun tenaga aktuaris di perusahaan masing- masing secara bertahap. Misalnya, dengan melakukan investasi pada human resources-nya untuk dididik menjadi tenaga aktuaris.
Ketika aturan ini diberlakukan dengan masa transisi lima tahun dari sekarang, tidak akan lagi ada tawar-menawar dalam mengimplementasikan aturan tersebut. Atau, perusahaan terancam terkena sanksi.
Data Biro Perasuransian Bapapem-LK menyebutkan, saat ini jumlah tenaga aktuaris yang dimaksud Bapepam-LK baru mencapai sekitar 150. Data Persatuan Aktuaris Indonesia (PAI) juga menyebutkan, dari 350 orang anggotanya, baru sekitar 150 yang berhak menandatangani laporan aktuaria.
Padahal, jumlah yang dibutuhkan sangat banyak. Jumlah tenaga aktuaris nantinya harus disesuaikan dengan kebutuhan tiap perusahaan, misalnya dari jumlah perusahaan asuransi yang ada saat ini, jika satu perusahaan saja membutuhkan dua tenaga aktuaris, idealnya diperlukan sekitar 300-400 orang lagi.
Idealnya, tenaga aktuaris yang dibutuhkan saat ini memang mencapai sekitar 300-400 orang. Namun, melihat perkembangan bisnis asuransi, setidaknya diperlukan tambahan sekitar 200 aktuaris lagi dalam dua hingga tiga ke depan. Artinya, kebutuhan tenaga aktuaris di industri ini bisa mencapai sekitar 500-600 dalam tiga tahun ke depan.

Sumber :http://www.infobanknews.com/2012/05/asuransi-butuh-500-tenaga-aktuaris/

Minggu, 30 Desember 2012

PROSPEK KERJA STATISTIKA......






Apa itu statistisi? . . .
Mungkin itu yang ada dibenak Anda. Statistisi adalah orang yang bekerja dengan statistik teoritis maupun terapan, baik di sektor swasta ataupun pemerintah. Inti dari pekerjaan seorang statistisi adalah untuk mengukur, menginterpretasikan dan menjelaskan aktivitas manusia, barang, dan berbagai fenomena sehingga diketahui polanya dan bisa dibuat prediksinya di masa yang akan datang. Seorang statistisi bisa masuk ke berbagai sektor pekerjaan, antara lain pemerintahan, industri, riset, marketing, ekonomi, finansial, komputasi, dan lain-lain. 
Prospek kerja seorang statistisi terus berkembang, seiring semakin meningkatnya jumlah pekerjaan yang membutuhkan kualifikasi sebagai seorang statistisi antara lain kemampuan menganalisis data dan memprediksinya. Saat ini tenaga-tenaga ahli di bidang statistik banyak dicari oleh perusahaan-perusahaan besar, dan tentu saja menawarkan penghasilan yang besar. Selain bekerja di perusahaan besar, saat ini juga berkembang kewirausahaan di bidang statistik, yang disebut sebagai “statpreneur” (istilah ini saya dapatkan dari seminar statistik di ITS). Statpreneur merupakan lembaga yang menyediakan jasa statistik, misal perancangan survey, marketing research, analisis data, pengolahan data, dan lain-lain. 

Statistik sangat dibutuhkan dalam bidang riset . . . 
Setiap perusahaan2 besar membutuhkan unit riset dalam perusahaannya agar memahami perilaku pasar dan konsumen. Perusahaan seperti PT UNILEVER misalnya, mereka selalu mengeluarkan anggaran untuk riset sebelum membuat sebuah keputusan tentang produk mereka. Tamatan statistik juga banyak dibutuhkan di BPS (Biro Pusat Statistik). Anda tahu lembaga2 survey yang saat ini banyak beredar di masyarakat? Tentunya setiap tahun mereka membutuhkan tenaga2 statistik dalam usaha survey mereka. Jadi peluang kerja statistik jelas memiliki prospek yang cukup besar.


Sabtu, 29 Desember 2012

SEJARAH HIMASTA UNDIP........

Sejarah HIMASTA ....... 

HIMASTA adalah organisasi kemahasiswaan internal bagi mahasiswa aktif jurusan Statistika di lingkungan FSM UNDIP. HIMASTA terbentuk pada tanggal 9 Juli 2006 berdasar pada Keputusan Rektor UNDIP No : III/SK/j.07/2004 Tentang Organisasi Kemahasiswaan Universitas Diponegoro. Fungsi dari organisasi internal yang menjadi kebanggaan mahasiswa Statistika ini adalah sebagai wadah komunikasi, penyalur aspirasi dan pemersatu masyarakat Statistika FSM UNDIP. Bertujuan menggalang persatuan dan kesatuan antar mahasiswa Statistika FSM UNDIP dalam menerapkan Ilmu Statistika guna meningkatkan peran serta dalam pembangunan Nasional. 

Ketua-Ketua HIMASTA yang pernah menjabat : 

1. Yuzdi Ghazali (‘04) periode Juli – Desember 2006 
2. Sadmoko Hesti Pambudi (’04) periode 2007 
3. Divo Dharma Silalahi (’05) periode 2008 
4. Rizki Oki Ari Satrio (’07) periode 2009

KALKULUS DAN SEJARAHNYA

KALKULUS,,,

Kalkulus (Bahasa Latin: calculus, artinya "batu kecil", untuk menghitung) adalah cabang ilmu matematika yang mencakup limit, turunan, integral, dan deret takterhingga. Kalkulus adalah ilmu mengenai perubahan, sebagaimana geometri adalah ilmu mengenai bentuk dan aljabar adalah ilmu mengenai pengerjaan untuk memecahkan persamaan serta aplikasinya. Kalkulus memiliki aplikasi yang luas dalam bidang-bidang sains, ekonomi, dan teknik; serta dapat memecahkan berbagai masalah yang tidak dapat dipecahkan dengan aljabar elementer.

Kalkulus memiliki dua cabang utama, kalkulus diferensial dan kalkulus integral yang saling berhubungan melalui teorema dasar kalkulus. Pelajaran kalkulus adalah pintu gerbang menuju pelajaran matematika lainnya yang lebih tinggi, yang khusus mempelajari fungsi dan limit, yang secara umum dinamakan analisis matematika.

SEJARAHNYA,,,

Sejarah perkembangan kalkulus bisa ditilik pada beberapa periode zaman, yaitu zaman kuno, zaman pertengahan, dan zaman modern. Pada periode zaman kuno, beberapa pemikiran tentang kalkulus integral telah muncul, tetapi tidak dikembangkan dengan baik dan sistematis. Perhitungan volume dan luas yang merupakan fungsi utama dari kalkulus integral bisa ditelusuri kembali pada Papirus Moskwa Mesir (c. 1800 SM). Pada papirus tersebut, orang Mesir telah mampu menghitung volume piramida terpancung. Archimedes mengembangkan pemikiran ini lebih jauh dan menciptakan heuristik yang menyerupai kalkulus integral. 

Pada zaman pertengahan, matematikawan India, Aryabhata, menggunakan konsep kecil tak terhingga pada tahun 499 dan mengekspresikan masalah astronomi dalam bentuk persamaan diferensial dasar.Persamaan ini kemudian mengantar Bhāskara II pada abad ke-12 untuk mengembangkan bentuk awal turunan yang mewakili perubahan yang sangat kecil takterhingga dan menjelaskan bentuk awal dari "Teorema Rolle". Sekitar tahun 1000, matematikawan Irak Ibn al-Haytham (Alhazen) menjadi orang pertama yang menurunkan rumus perhitungan hasil jumlah pangkat empat, dan dengan menggunakan induksi matematika, dia mengembangkan suatu metode untuk menurunkan rumus umum dari hasil pangkat integral yang sangat penting terhadap perkembangan kalkulus integral. ada abad ke-12, seorang Persia Sharaf al-Din al-Tusi menemukan turunan dari fungsi kubik, sebuah hasil yang penting dalam kalkulus diferensial. Pada abad ke-14, Madhava, bersama dengan matematikawan-astronom dari mazhab astronomi dan matematika Kerala, menjelaskan kasus khusus dari deret Taylor], yang dituliskan dalam teks Yuktibhasa.



Pada zaman modern, penemuan independen terjadi pada awal abad ke-17 di Jepang oleh matematikawan seperti Seki Kowa. Di Eropa, beberapa matematikawan seperti John Wallis dan Isaac Barrow memberikan terobosan dalam kalkulus. James Gregory membuktikan sebuah kasus khusus dariteorema dasar kalkulus pada tahun 1668. 


Leibniz dan Newton mendorong pemikiran-pemikiran ini bersama sebagai sebuah kesatuan dan kedua orang ilmuwan tersebut dianggap sebagai penemu kalkulus secara terpisah dalam waktu yang hampir bersamaan. Newton mengaplikasikan kalkulus secara umum ke bidang fisika sementara Leibniz mengembangkan notasi-notasi kalkulus yang banyak digunakan sekarang.Ketika Newton dan Leibniz mempublikasikan hasil mereka untuk pertama kali, timbul kontroversi di antara matematikawan tentang mana yang lebih pantas untuk menerima penghargaan terhadap kerja mereka. Newton menurunkan hasil kerjanya terlebih dahulu, tetapi Leibniz yang pertama kali mempublikasikannya. Newton menuduh Leibniz mencuri pemikirannya dari catatan-catatan yang tidak dipublikasikan, yang sering dipinjamkan Newton kepada beberapa anggota dari Royal Society.

Pemeriksaan secara terperinci menunjukkan bahwa keduanya bekerja secara terpisah, dengan Leibniz memulai dari integral dan Newton dari turunan. Sekarang, baik Newton dan Leibniz diberikan penghargaan dalam mengembangkan kalkulus secara terpisah. Adalah Leibniz yang memberikan nama kepada ilmu cabang matematika ini sebagai kalkulus, sedangkan Newton menamakannya "The science of fluxions". 


Sejak itu, banyak matematikawan yang memberikan kontribusi terhadap pengembangan lebih lanjut dari kalkulus.


Sumber: http://id.wikipedia.org/wiki/Kalkulus

Jumat, 28 Desember 2012

MARS STATISTIKA UNDIP


Bergeraklah barisan Statistik
Tekadkanlah semangat juangmu
Hadapilah setiap rintangan 
Demi kemajuan Statistik

Reff*: Statistik memang paling keren
           Untuk kita semua...

           Kerahkan semua daya dan upaya
           Demi kemajuan Statistik

Bangkitlah tunas hijau pilihan 

Kitalah tempat tumpuan harapan
Ditempa dan dibina tuk satu tujuan 
Maju dan jayalah Statistik

Reff*: Statistik memang paling keren 

           Untuk kita semua...
           Kerahkan semua daya dan upaya
           Demi kemajuan Statistik

STATISTIK....... BANGKIT...

STATISTIK........MAJU......
STATISTIK........ JAYA......
HIDUP..... STATISTIKA!!!!!!!!

Selasa, 25 Desember 2012

Parameter Statistika

Parameter statistika merupakan karakteristik dari hasil pengukuran suatu objek. Ukuran parameter statistika dihitung dari data sempel atau populasi. Parameter statistika yang sering digunakan dalam analisis statistika adalah sebagai berikut:


  • Rata-rata adalah nilai yang mewakili besaran dari objek yang diamati. Rata-rata dapat diartikan juga sebagai ukuran data yang mendominasidari seluruh data. Dalam kompetesinya, rata-rat dapat ditentukan dengan cara rata-rat hitung (mean), median , dan modus. ketiga ukuran tersebut mempunyai distribusi frekuensi yang simetri terhadap rata-rat, maka nilai dari ketiga nilai tengah adalah sama.
1. Rumus Rataan Hitung (Mean) 
Rata-rata hitung atau mean memiliki perhitungan dengan cara membagi jumlah nilai data dengan banyaknya data. Rata-rata hitung disebut dengan mean.

a) Rumus Mean dari Data Tunggal  



b) Rumus Mean Untuk Data yang Disajikan Dalam Distribusi Frekuensi.





Dengan : fixi = frekuensi untuk nilai xi yang bersesuaian
xi = data ke-i



c) Rumus Mean Gabungan





2. Rumus Modus 


a. Data yang belum dikelompokkan

Modus dari data yang belum dikelompokkan adalah ukuran yang memiliki frekuensi tertinggi. Modus dilambangkan mo.
b. Data yang telah dikelompokkan

Rumus Modus dari data yang telah dikelompokkan dihitung dengan rumus:





Dengan : Mo = Modus
L = Tepi bawah kelas yang memiliki frekuensi tertinggi (kelas modus) i = Interval kelas
b1 = Frekuensi kelas modus dikurangi frekuensi kelas interval terdekat sebelumnya
b2 = frekuensi kelas modus dikurangi frekuensi kelas interval terdekat sesudahnya


3. Rumus Median (Nilai Tengah) 

a) Data yang belum dikelompokkan
Untuk mencari nilai median, data harus dikelompokan terlebih dahulu dari yang terkecil sampai yang terbesar. 





b) Rumus Data yang Dikelompokkan





Dengan : Qj = Kuartil ke-j
j = 1, 2, 3
i = Interval kelas
Lj = Tepi bawah kelas Qj
fk = Frekuensi kumulatif sebelum kelas Qj
f = Frekuensi kelas Qj
n = Banyak data



4. Rumus Jangkauan ( J )
Rumus jangkauan yaitu selisih antara nilai data terbesar dengan nilai data terkecil. 
 




5. Rumus Simpangan Quartil (Qd)

Rumus simpangan quartil yaitu:




6. Rumus Simpangan baku ( S ) 
Menentukan rumus simpangan baku yaitu dengan cara:




7. Rumus Simpangan rata – rata (SR) 


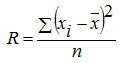
8. Rumus Ragam (R)



  • Varian merupakan variasi sekitar mean. Variasi diberikan oleh suatu nilai yang menunjukan tingkat variabilitas perbedaan data. Karena nilai rata-rata sering kali belum dapat menberikan cukup informasi yang tepat mengenai parameter rata-rata sebagai nilai tengah maka diperlukan adanya ukuran tingkat variabilitas data tersebut.
Jika suatu peubah acak X mempunyai rerata μ = E[X], varians dari X atau Var(X) adalah

\operatorname{Var}(X) = \operatorname{E}\left[(X - \mu)^2 \right]. \,

[sunting]Peubah Acak Kontinu

Jika peubah acak X berasal dari data kontinu dengan fungsi kepekatan peluang (probability density functionf(x),
\operatorname{Var}(X) =\int (x-\mu)^2 \, f(x) \, dx\,,
untuk \mu adalah nilai harapan. Sebagai misal,
\mu = \int x \, f(x) \, dx\,,

[sunting]Peubah Acak Diskret

Jika peubah acak X berasal dari data diskret dengan fungsi massa peluang (probability mass function) x1 ↦ p1, ..., xn ↦ pn, akan berlaku
\operatorname{Var}(X) = \sum_{i=1}^n p_i\cdot(x_i - \mu)^2
untuk \mu adalah nilai harapan. Sebagai misal,
\mu = \sum_{i=1}^n p_i\cdot x_i
  • Korelasi adalah suatu nilai yang menyatakan hubungan antar variabel. Jika kedua variabel mempunyai korelasi, maka kedua variabel random yang tidak saling bebas. Ukuraan erat tidaknya hubunagan antara dua variabel ditunjukan oleh koefisiensi korelasi.dengan diketahui koefisiensi korelasi , maka dapat diketahui tingkat hubungan antara satu variabel dengan variabel lain.
Rumus Korelasi Product Moment/Pearson Correlation ada 2 macam, yaitu:
1.Korelasi Product Moment dengan simpangan: 
    r_xy=(∑xy)/√((∑x^2 )(∑y^2 ) )  
    Keterangan:
    r_xy   =Koefisiensi korelasi anatara variabel X dan variabel Y:dua variabel yang dikorelasikan
                       ( x=X-M ) dan(  y= Y-M).
   ∑xy   =Jumlah perkalian x dengan y
    x^2   =Kuadrat dari x (deviasi x)
    y^2  =Kuadrat dari y (deviasi y)

2.Korelasi Product Moment dengan Angka Kasar:
     r_xy=(NΣxy_(-(∑x) ) (∑y))/√((NΣx^2-(∑x)^2 (NΣy^2-(Σy)^(2)) )  
    Keterangan:

     r_xy=Koefisien korelasi antara variabel X dan variabel Y
      Σxy  =Jumlah perkalian antara variabel x dan Y
       ∑x^2  =Jumlah dari kuadrat nilai X
       ∑y^2   =Jumlah dari kuadrat nilai Y
       (∑x)^2=Jumlah nilai X kemudian dikuadratkan
      (∑y)^2=Jumlah nilai Y kemudian dikuadratkan

Sumber : "STATISTIKA ELEMENTER (METODE DAN APLIKASI DENGAN SPSS)" MUSTAFID, UNIVERSITAS DIPONEGORO (2003), http://garda-pengetahuan.blogspot.com/2012/04/rumus-matematika-untuk-mean-median-dan.html, http://id.wikipedia.org/wiki/Varians, http://rumusterbaru.blogspot.com/2011/06/rumus-korelasi-product-moment.html

Minggu, 23 Desember 2012

Mengapa Statistika diperlukan???

Pada era globalisasi ini, informasi menjadi basis intelektual di masyarakat dan hampir semua kegiatan manusia bersumber pada informasi. Kebutuhan informasi data semakin meningkat untuk keperluan analisis dan dalam pembuatan keputusan baik didunia penelitian maupun pengembangan bisnis, industri, serta lembanga lainnya.

Statistika sebagai bagian dari ilmu pengetahuan analisis data berkembang sangat cepat dan telah masuk diberbagai penerapan bidang ilmu pengetahuan dan teknologi. Pengembangan satatistika didukung oleh pengembangan teknologi informasi dengan perangkat lunak statistika berupa berbagai paket statistika dalam personal komputer.


Penggunaan statistika dalam dunia industri meningkat secara cepat terutama dipicu dengan dikeluarkannya sistem kualitas yaitu pada ISO 9000 pada tahun 1987 sebagai standar kualitas internasional Indonesia mengadopsi sistem kualitas ISO 9000 dan memberi nama Standar Nasional Indonesia (SNI)19-9000-1992. Dengan adanya Klausul dalam ISO 1900 tentang peningkatan kualitas secara terus meneru, maka semua lembaga atau industri yang menerapakan ISO 1900 atau menejemen kualitas harus meneerapkan metode statistika sebagai metode yang direkomendasikan.


Undang-Undang Nomor 16 tahun 1997 mengamatkan bahwa statistika  adalah sangat penting artinya bagi perencanaan, pelaksanaan, pemantauaan, dan evaluasi penyelenggaraan berbagai kegiatan disegenap aspek kehisupan bermasyarakat, berbangsa, dan bernegara dalam pembangunannasional.


Peran statistika semakin menjadi penting akibat dorongan dari beberapa faktor pengembangan masyarakat antara lain sebagai berikut:



  1. Meningkatkan kesejahteraan masyarakat menyebabkan data statistika yang dibutuhakan semakin beragam.
  2. Kemajuan ilmu pengetahuan dan teknologi informasi yang berdampak terhadap pengembangan metode, cara analisis , dan pemrosesan data sehingga bentuk pengajian data menjaadi suatu informasi yang berguna.
  3. Munculnya globalisasi yang ditandai dengan meningkatnya persaingan global.

Sumber: STATISTIKA ELEMENTER (METODE DAN APLIKASI DENGAN SPSS), MUSTAFID , UNIVERSITAS DIPONEGORO(2003).

Sabtu, 22 Desember 2012

Perkembangan Ilmu Statistik

Beberapa sumbangan pakar-pakar dalam ilmu statistik antara lain : 


  1.  Braham Demoivre (1667-1754) mengembangkan teori galat atau kekeliruan (theory of error)
  2.  Tahun 1757, Thomas Simpson menyimpulkan bahwa terdapat suatu distribusi yang berlanjut (continues distribution) dari suatu variabel dalam suatu frekuensi yang banyak 
  3. Pierre Simon de Lacplace (1749-1827) mengembangkan konsep demoire dan Simpson ini lebih lanjut, dan menemukan distribusi normal, 
  4. Karl Friedrich Gauss (1777-1855) kemudian mengembangkan teknik kuadrat terkecil (least square) simpangan baku, galat baku untuk rata-rata (the standard error of mean) 
  5. Distribusi lain, yang tidak berupa kurva normal kemudian ditemukan oleh Francis Galton (1822-1911) dan Karl Pearson (1857-1936) 
  6. Pearson (1857-1936) melanjutkan konsep-kosnep Galton dan mengembangkan konsep regresi, korelasi, distribusi chi square dan analisis statistika kualitatif.
  7.  Charles Spearman (1863-1945) murid dari Galton dan Leipzig mengembangkan konsep one factor model, yang selanjutnya beliau dijuluki sebagai “the father of factor analysis). 
  8. Godfrey Thompson (1881-1955), Cyril Burt (1883-1971), Raymond Cattell (1905-1998), dan Karl Holzinger (1892-1954) memberi kontribusi pada perluasan konsep analisis faktor dari Spearman. 
  9. Harold Hotelling (1895-1955) memperluas konsep one faktor model dari Spearman menjadi multiple factor model.
  10. Ronald Alylmer Fisher (1890-1962) mengembangkan desain eksperimen, disamping analisis varian dan kovarian, distribusi z, t, uji signifikansi dan teori tentang perkiraan (theory of estimation).
  11. Louis Guttman (1916-1987) mengembangkan Skala yang dikenal dengan skala Guttman dan banyak memberikan kontribusi pada analisis faktor. 
  12. Rensis Likert (1932) mengembangkan Skala yang kemudian dikenal dengan skala Likert. 
  13. Andrey Kolmogorov (1903 – 1987) dan Smirnov (1900-1966) yang hasil karyanya sekarang dikenal dengan kolmogorov smirnov test 
  14. Tahun 1937, Jan Tinbergen memperkenalkan ekonomi statistic.
  15.  Neyman, J (1938) yang berkontribusi dengan “Theory Of Sampling Human Populations”. 
  16. Hansen, M. H., and Hurwitz, W. N (1950) pada “Theory Of Sampling From Finite Populations”
  17.  Cochran, W. G. (1953-1963) dan Taro Yamane (1967) yang mengembangkan Sampling Techniques
  18.  Joreskog (1973), Kessling (1973), dan Wiley (1973) membentuk kesatuan model yang dikenal dengngan persamaan struktural. Joreskog sendiri memberikan kontribusi pada metode maximum likehood dan para pakar lainnya yang banyak berkontribusi dalam pengembangan ilmu statistik modern.

Sumber: http://teorionline.wordpress.com/tag/perkembangan-ilmu-statistik/

Sabtu, 01 Desember 2012

Klasifikasi, Jenis dan Macam Data - Pembagian Data Dalam Ilmu Eksak Sains Statistik / Statistika

A. Jenis Data Menurut Cara Memperolehnya 
1. Data Primer Data primer adalah secara langsung diambil dari objek / obyek penelitian oleh peneliti perorangan maupun organisasi. Contoh : Mewawancarai langsung penonton bioskop 21 untuk meneliti preferensi konsumen bioskop. 
2. Data Sekunder Data sekunder adalah data yang didapat tidak secara langsung dari objek penelitian. Peneliti mendapatkan data yang sudah jadi yang dikumpulkan oleh pihak lain dengan berbagai cara atau metode baik secara komersial maupun non komersial. Contohnya adalah pada peneliti yang menggunakan data statistik hasil riset dari surat kabar atau majalah. 

B. Macam-Macam Data Berdasarkan Sumber Data 
1. Data Internal Data internal adalah data yang menggambarkan situasi dan kondisi pada suatu organisasi secara internal. Misal : data keuangan, data pegawai, data produksi, dsb. 
2. Data Eksternal Data eksternal adalah data yang menggambarkan situasi serta kondisi yang ada di luar organisasi. Contohnya adalah data jumlah penggunaan suatu produk pada konsumen, tingkat preferensi pelanggan, persebaran penduduk, dan lain sebagainya.

C. Klasifikasi Dara Berdasarkan Jenis Datanya 
1. Data Kuantitatif Data kuantitatif adalah data yang dipaparkan dalam bentuk angka-angka. Misalnya adalah jumlah pembeli saat hari raya idul adha, tinggi badan siswa kelas 3 ips 2, dan lain-lain. 
2. Data Kualitatif Data kualitatif adalah data yang disajikan dalam bentuk kata-kata yang mengandung makna. Contohnya seperti persepsi konsumen terhadap botol air minum dalam kemasan, anggapan para ahli terhadap psikopat dan lain-lain. 

D. Pembagian Jenis Data Berdasarkan Sifat Data 
1. Data Diskrit Data diskrit adalah data yang nilainya adalah bilangan asli. Contohnya adalah berat badan ibu-ibu pkk sumber ayu, nilai rupiah dari waktu ke waktu, dan lain-sebagainya. 
2. Data Kontinyu Data kontinyu adalah data yang nilainya ada pada suatu interval tertentu atau berada pada nilai yang satu ke nilai yang lainnya. Contohnya penggunaan kata sekitar, kurang lebih, kira-kira, dan sebagainya. Dinas pertanian daerah mengimpor bahan baku pabrik pupuk kurang lebih 850 ton. 

E. Jenis-jenis Data Menurut Waktu Pengumpulannya 
1. Data Cross Section Data cross-section adalah data yang menunjukkan titik waktu tertentu. Contohnya laporan keuangan per 31 desember 2006, data pelanggan PT. angin ribut bulan mei 2004, dan lain sebagainya. 
2. Data Time Series / Berkala Data berkala adalah data yang datanya menggambarkan sesuatu dari waktu ke waktu atau periode secara historis. Contoh data time series adalah data perkembangan nilai tukar dollar amerika terhadap euro eropa dari tahun 2004 sampai 2006, jumlah pengikut jamaah nurdin m. Top dan doktor azahari dari bulan ke bulan, dll. 

4 Macam Tipe Data Statistik
Pengetahuan mengenai tipe2 data adalah penting di dalam statistika. Terdapat 4 tipe data, diurutkan mulai dari tingkatan terendah hingga tertinggi:
1.Nominal
 Digunakan untuk mengklasifikasikan informasi/data. Contoh:Data jenis kelamin = Laki-laki dan Perempuan. Biasanya, saat analisis data, tipe data spt ini dilambangkan dg bilangan numerik (angka).Laki-laki dilambangkan dengan angka 1, sedangkan perempuan dilambangkan dengan angka 0. Tidak berarti angka 0 lebih rendah dari angka 1, ingat!! cuma melambangkan saja.

2. Ordinal 
Digunakan untuk mengklasifikasikan serta memiliki tingkatan. Tipe data ordinal lebih tinggi dari Nominal karena kemampuannya untuk membentuk tingkatan. Contoh:Jabatan di dalam perusahaan = karyawan, manager, direktur utama. Misal, karyawan dilambangkan dengan 1, manager dg 2, dan direktur utama dengan 3. Pada tipe data ini, angka 1 dianggap lebih rendah dari angka 2, dst. Bisa saja karyawan dilambangkan dengan angka 1, tetapi manager angka 3 dan direktur utama dengan angka 10. Tipe data ini tidak mensaratkan jarak yang sama antar angka yang digunakan sebagai lambang. Yang perlu diperhatikan hanyalah bahwa angka 3 lebih tinggi dari angka 1, angka 10 lebih tinggi dari angka 3.

3. Interval 
Ciri khas dari tipe data ini, selain memiliki kemampuan mengklasifikasikan dan membentuk tingkatan, adalah tidak adanya nilai nol mutlak. Artinya, angka nol yg digunakan bukan berarti tidak ada. Contoh: Derajat suhu. Di dalam skala Celcius misalnya, Nol derajat Celcius bukan berarti tidak ada suhu. Nol derajat itu memiliki suhu, hanya saja dilambangkan dengan nol. Selain itu, jarak antar setiap angka yg digunakan adalah sama. Misal: di dalam kuesioner, ada tingkatan dari TIDAK SETUJU (lambang: 1) s.d. SANGAT SETUJU (lambang: 5). Jarak antara SANGAT SETUJU (5) dg SETUJU (4) adalah 1, yaitu 5-4=1. Jarak antara SETUJU (4) dg RAGU-RAGU (3) juga = 1, yaitu 4-3=1. dst.

4. Rasio 
Memiliki kemampuan dari ketiga tipe data sebelumnya, dan angka nol dianggap mutlak. Contoh: data berat badan (kg). Angka Nol kg berarti memang tidak ada berat. Tipe data nominal dan ordinal sering digunakan pada metode statistika nonparametrik. Sedangkan tipe data interval dan rasio cocok untuk digunakan pada metode statistika parametrik, asal asumsi yang dibutuhkan oleh metode statistika parametrik yang bersangkutan dapat dipenuhi.
Sumber : http://sainsmatika.blogspot.com/2012/02/pengertian-statistik-dan-statistika.html, http://id.wikipedia.org/wiki/Statistika

Kamis, 29 November 2012

STATISTIKA DESKRIPTIP DAN STATISTIKA INFERNSIAL

A. Statistika deskriptif
Statistik deskriptif merupakan penjelasan mengenai pengertian statistk menurut para ahli:
1.Sudjana (1996:7) menjelaskan : Fase statistika dimana hanya berusaha melukiskan atau mengalisa kelompok yang diberikan tanpa membuat atau menarik kesimpulan tentang populasi atau kelompok yang lebih besar dinamakan statistika deskriptif. 

2.Iqbal Hasan (2001:7) menjelaskan : Statistik deskriptif atau statistik deduktif adalah bagian dari statistik mempelajari cara pengumpulan data dan penyajian data sehingga mudah dipahami. Statistik deskriptif hanya berhubungan dengan hal menguraikan atau memberikan keterangan-keterangan mengenai suatu data atau keadaan atau fenomena. Dengan kata lain, statistik deskriptif berfungsi menerangkan keadaan, gejala, atau persoalan. Penarikan kesimpulan pada statistik deskriptif (jika ada) hanya ditujukan pada kumpulan data yang ada. Didasarkan pada ruang lingkup bahasannya statistik deskriptif mencakup :
  • *Distribusi frekuensi beserta bagian-bagiannya seperti : 
  • o Grafik distribusi (histogram, poligon frekuensi, dan ogif);
  • o Ukuran nilai pusat (rata-rata, median, modus, kuartil dan sebagainya);
  • o Ukuran dispersi (jangkauan, simpangan rata-rata, variasi, simpangan baku, dan sebagianya);
  • o Kemencengan dan keruncingan kurva 
  • * Angka indeks 
  • * Times series/deret waktu atau berkala
  • * Korelasi dan regresi sederhana. 
3.Bambang Suryoatmono (2004:18) menyatakan Statistika Deskriptif adalah statistika yang menggunakan data pada suatu kelompok untuk menjelaskan atau menarik kesimpulan mengenai kelompok itu saja
• Ukuran Lokasi: mode, mean, median, dll
• Ukuran Variabilitas: varians, deviasi standar, range, dll 
• Ukuran Bentuk: skewness, kurtosis, plot boks. 

4.Pangestu Subagyo (2003:1) menyatakan : Yang dimaksud sebagai statistika deskriptif adalah bagian statistika mengenai pengumpulan data, penyajian, penentuan nilai-nilai statistika, pembuatan diagramatau gambar mengenai sesuatu hal, disini data yang disajikan dalam bentuk yang lebih mudah dipahami atau dibaca. Statistika deskriptif merupakan metode-metode yang berkait dengan pengumpulan dan penyajian sekumpulan data, sehingga dapat memberikan informasi yang berguna. Perlu kiranya dimengerti bahwa statistika deskriptif memberikan informasi hanya mengenai data yang dipunyai dan sama sekali tidak menarik kesimpulan yang lebih banyak dan lebih jauh dari data yang ada. Kegiatan memeriksa sifat-sifat penting dari data yang ada itu disebut analisis data secara pemerian (deskripsi). Karenanya bagian statistika demikian dinamakan Statistika Deskriptif atau Statistika Perian. Penyusunan tabel, diagram, modus, kuartil, simpangan baku termasuk dalam kategori statistika deskriptif. Kegiatan itu dilakukan melalui: 
  • a. Pendekatan aritmetika yaitu pendekatan melalui pemeriksaan rangkuman nilai atau ukuran-ukuran penting dari data. Yang dimaksud rangkuman nilai di sini ialah penyederhanaan kumpulan nilai data yang diamati ke dalam bentuk nilai-nilai tertentu. Setiap rangkuman nilai ini disebut statistik. Jadi, statistik menerangkan sifat kumpulan data dalam bentuk nilai yang mudah dipahami, sedangkan statistika adalah suatu ilmu tentang sekumpulan konsep serta metode yang dapat digunakan untuk mengumpulkan, menyajikan dan menganalisis data serta menarik kesimpulan berdasar hasil analisis data tersebut. 
  • b. Pendekatan geometrik, yaitu melalui penyajian data dalam bentuk gambar berupa grafik atau diagram. Kedua pendekatan mengakibatkan pembedaan dalam penyajian datanya. Penyajian data pertama menekankan angka-angka dan yang kedua menekankan pada gambar.
B. Statistika interferensial
Statistik inferensial merupakan kebalikan dari statistika deskriptip, statistika infrensial merupakan statistik yang berkenaan dengan cara penarikan kesimpulan berdasarkan data yang diperoleh dari sampel untuk menggambarkan karakterisktik atau ciri dari suatu populasi. Dengan demikian dalam statistik inferensial dilakukan suatu generalisasi (perampatan atau memperumum) dan hal yang bersifat khusus (kecil) ke hal yang lebih luas (umum). Oleh karena itu, statistik inferensial disebut juga statistik induktif atau statistik penarikan kesimpulan. Pada statistik inferensial biasanya dilakukan pengujian hipotesis dan pendugaan mengenai karakteristik (ciri) dari suatu populasi, seperti mean dan Uji t (Sugiyono, 2006). Statistika inferensi, yang berupa kajian tentang penarikan kesimpulan mengenai keseluruhan objek yang menjadi perhatian namun hanya atas dasar data sebagian objek inilah yang disebut Statistika Inferensial atau Statistika Induktif. Dengan demikian, Statistika Inferensial menyimpulkan makna statistik yang telah dihitung, dianalisis atau disajikan grafik atau diagramnya tersebut. Penarikan kesimpulan tentang keseluruhan populasi populasi didasarkan atas pengamatan terhadap salah satu bagian populasi disebut induksi atau generalisasi. Proses induksi atau genarilsasi dalam srtatistika induktif dapat ditemuai dalam berbagai kegiatan ilmiah dan juga dalam kehidupan sehari-hari. Misalnya seorang anak kecil sering melihat balok-balok kayu dapat terbakar, maka ia akan menarik kesimpulan bahwa semua balok kayu dapat terbakar.

Sumber:http://sainsmatika.blogspot.com/2012/02/pengertian-statistik-dan-statistika.html

Rabu, 21 November 2012

Pengertian Statistika dan Perbedaan Statistik dan Statistika

Dari Wikipedia bahasa Indonesia, ensiklopedia bebas 

Statistika adalah ilmu yang mempelajari bagaimana merencanakan, mengumpulkan, menganalisis, menginterpretasi, dan mempresentasikan data. Singkatnya, statistika adalah ilmu yang berkenaan dengan data. Istilah 'statistika' (bahasa Inggris: statistics) berbeda dengan 'statistik' (statistic). Statistika merupakan ilmu yang berkenaan dengan data, sedang statistik adalah data, informasi, atau hasil penerapan algoritma statistika pada suatu data. Dari kumpulan data, statistika dapat digunakan untuk menyimpulkan atau mendeskripsikan data; ini dinamakan statistika deskriptif. Sebagian besar konsep dasar statistika mengasumsikan teori probabilitas. Beberapa istilah statistika antara lain: populasi, sampel, unit sampel, dan probabilitas.Statistika banyak diterapkan dalam berbagai disiplin ilmu, baik ilmu-ilmu alam (misalnya astronomi dan biologi maupun ilmu-ilmu sosial (termasuk sosiologi dan psikologi), maupun di bidang bisnis, ekonomi, dan industri. Statistika juga digunakan dalam pemerintahan untuk berbagai macam tujuan; sensus penduduk merupakan salah satu prosedur yang paling dikenal. Aplikasi statistika lainnya yang sekarang popular adalah prosedur jajak pendapat atau polling (misalnya dilakukan sebelum pemilihan umum), serta jajak cepat (perhitungan cepat hasil pemilu) atau quick count. Di bidang komputasi, statistika dapat pula diterapkan dalam pengenalan pola maupun kecerdasan buatan. 

Kebanyakan masyarakat menganggap bahwa statistic dan statistika adalah sama. Ada beberapa hal yang arus dijelaskan lebih terperinci untuk membedakan statistik dan statistika. Berikut adalah penjelasan lebih terperinci mengenai pengrtian statistic dan statistika. 

Membedakan pengertian statistik dan statistika:
A. Pengertian statistic 
 Kata statistic bukan merupakan kata dari bahasa Indonesia asli, secara etimologis kata "statistik" berasal dari kata status (bahasa latin) yang mempunyai persamaan arti dengan kata state (bahasa Inggris) atau kata staat (bahasa Belanda), dan yang dalam bahasa Indonesia diterjemahkan menjadi negara. Pada mulanya, kata "statistik" diartikan sebagai "kumpulan bahan keterangan (data), baik yang berwujud angka (data kuantitatif) maupun yang tidak berwujud angka (data kualitatif), yang mempunyai arti penting dan kegunaan yang besar bagi suatu negara. Namun, pada perkembangan selanjutnya, arti kata statistik hanya dibatasi pada "kumpulan bahan keterangan yang berwujud angka (data kuantitatif)" saja; bahan keterangan yang tidak berwujud angka (data kualitatif) tidak lagi disebut statistik. Seiring berjalannya waktu kata statistic tidak lagi dibatasi untuk kepentingan-kepentingan Negara saja tapi sudah digunakan dalam keseharian untuk mempermudah masyarakat untuk menganalisis sesuatu yang berkaitan dengan data-data. Sehingga setelah masyarakat memahami statistic dan mulai mempergunakannya dalam kehidupan sehari munculah berbagai macam nama statistic. Statistic yang menjelaskan sesuatu hal biasanya diberi nama statistic mengenai hal yang bersangkutan didalamnya, contohnya kumpulan data yang membahas tentang tingkat produksi suatu perusahaan dinamakan statistic produksi. Banyak persoalan baik itu seperti penelitian ataupun pengamatan yang dinyatakan dalam bentuk bilangan atau angka-angka. Kumpulan angka-angka disusun atau diatur dan disajikan dalam tabel (terkadang dilengkapi dengan gambarbaik berupa iagrm maupun grafik, hal ini dilakukan bertujuan untuk mempermudah menjelaskan isi dari data) seperti berikut mungkin bisa membantu anda memahami statistic lebih lanjut.

B. Pengertian statistika  
Dari data hasil penelitian sering kali diminta suatu uraian, penjelasan atau kesimpulan tentang persoaalan yang ditelit. Sebelum kesimpulan dibuat, keterangan data yang yang telah terkumpul itu terlebih dahulu dipelajari, dianalisis atau diolahdan berdasarkan pengolahan ini baru dibuat kesimpulan. Dari pernyataan diatas tersirat bahwa statistika merupakan pengetahuan yang berhubungan dengan cara-cara pengumpulan data, pengolahan atau penganalisiannya dan penarikan kesimpulan berdasarkan kumpulan data dan penganalisian yang dilakukan. Maka dari definisi diatas dapat kita simpulkan bahwa ruang lingkup sttistika lebih luas daripada statistic serta statistika mencangkup statistic, atau dapat kita analogikan ibarat computer, suatu keutuhan computer merupakan statistika sedangkan alat-alat penyusun dari computer ( LCD, mouse, CPU, keyboard, dll) merupakan statistika.

Sember:  http://id.wikipedia.org/wiki/Statistika, http://sainsmatika.blogspot.com/2012/02/pengertian-statistik-dan-statistika.html
            

Selasa, 20 November 2012

Sejarah Statistika






Penggunaan istilah statistika berakar dari istilah istilah dalam bahasa latin modern statisticum collegium ("dewan negara") dan bahasa Italia statista ("negarawan" atau "politikus").

Gottfried Achenwall (1749) menggunakan Statistik dalam bahasa jerman untuk pertama kalinya sebagai nama bagi kegiatan analisis data kenegaraan, dengan mengartikannya sebagai "ilmu tentang negara (state)". Pada awal abat ke-19 telah terjadi pergeseran arti menjadi "ilmu mengenai pengumpulan dan klasifikasi data". Sir John Sinclair memperkenalkan nama (Statistics) dan pengertian ini ke dalam bahasa inggris. Jadi, statistika secara prinsip mula-mula hanya mengurus data yang dipakai lembaga-lembaga administratif dan pemerintahan. Pengumpulan data terus berlanjut, khususnya melalui sensus yang dilakukan secara teratur untuk memberi informasi kependudukan yang berubah setiap saat.
Pada abad ke-19 dan awal abad ke-20 statistika mulai banyak menggunakan bidang-bidang dalam matematika, terutama peluang. Cabang statistika yang pada saat ini sangat luas digunakan untuk mendukung metode ilmiah ,statistika inferensi , dikembangkan pada paruh kedua abad ke-19 dan awal abad ke-20 oleh Ronald Fisher (peletak dasar statistika inferensi),Karl Peason (metode regresi linier), dan Willeam Sealey Gosset (meneliti problem sample berukuran kecil). Penggunaan statistika pada masa sekarang dapat dikatakan telah menyentuh semua bidang ilmu pengetahuan, mulai dari Astronomi hingga linguistika.Bidang-bidang ekonomi , biologi , dan cabang-cabang terapannya, serta psikologi banyak dipengaruhi oleh statistika dalam metodologinya . Akibatnya lahirlah ilmu-ilmu gabungan seperti ekonometrika, biometrika(biostatistika), dan psikometrika .
Meskipun ada pihak yang menganggap statistika sebagai cabang dari matematika, tetapi sebagian pihak lainnya menganggap statistika sebagai bidang yang banyak terkait dengan matematika melihat dari sejarah dan aplikasinya. Di Indonesia, kajian statistika sebagian besar masuk dalam fakultas matematika dan ilmu pengetahuan,  baik di dalam departemen tersendiri maupun tergabung dengan matematika.

Sumber: http://id.wikipedia.org/wiki/Statistika